网站地图 │ 联系我们 │网上植物园 │ English │ 中国科学院
 首页 │园况介绍 │机构设置 │科学研究 │研究队伍 │交流合作 │人才培养 │党建与创新文化 │园林园艺 │科普教育 │旅游服务│信息公开
  站内搜索
科学研究
科研进展
获奖
论文
专著
专利
成果转化
 
您现在的位置: 首页>旧版停用>科学研究>科研进展
华南植物园在碳源输入方式改变对土壤生物群落结构与功能影响研究取得进展
2020-04-24 | 编辑:scbg | 【大 中 小】【打印 】【 关闭】

 

  土壤有机碳主要来自植物的地上凋落物和地下根系输入。植物碳分配方式的改变会显著影响土壤有机碳的积累,进而影响土壤生物群落的结构与功能。但是科研人员对植物地上和地下碳输入对土壤有机碳积累的相对贡献及其对土壤生物群落的潜在影响的了解非常有限。 

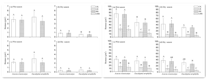
  中科院华南植物园恢复生态学团队(PI:刘占锋研究员)基于凋落物和根系去除野外控制实验平台,以南亚热带人工林(尾叶桉林和厚荚相思林)为研究对象,研究了长期凋落物和根系去除对土壤有机碳库和土壤生物群落的影响。研究发现:(1)持续去除凋落物(6年)显著降低了表层土壤(0-10cm)的有机碳含量,但是根系去除对土壤有机碳的效应不明显;(2)凋落物去除显著降低了表栖类蚯蚓(Amynthas sp.)和内栖类蚯蚓(Pontoscolex corethrurus)的密度和生物量,但是根系去除对两类蚯蚓影响不显著。研究结果表明,凋落物在调控土壤有机碳积累和土壤生物群落结构方面发挥的作用整体上要比根系大。研究结果不仅为揭示凋落物在亚热带人工林中生态功能提供了重要的实验证据,对于人工林的可持续管理也具有重要的实践指导意义。 

  相关研究结果已发表在国际土壤学和环境科学主流刊物Soil Biology and Biochemistry(《土壤生物学与生物化学》)和Science of Total Environment(《全环境科学》)上。该研究得到了国家重点研发计划、国家自然科学基金、广州市科技计划项目资助。 

  论文链接:http://dx.doi.org/10.1016/j.soilbio.2020.107777 

   http://dx.doi.org/10.1016/j.scitotenv.2019.135341 

图1. 凋落物和根系去除对土壤有机碳的影响

 

 

图2. 凋落物和根系去除对表栖类(左)和内栖类(右)蚯蚓生物量的影响

 

 

 


中国科学院华南植物园 版权所有 备案号:粤ICP备05004664号
地址:广州市天河区兴科路723号 邮编:510650 邮件:bgs@scbg.ac.cn
电话:020-37252711 旅游咨询热线:020-85232037