网站地图 │ 联系我们 │网上植物园 │ English │ 中国科学院
 首页 │园况介绍 │机构设置 │科学研究 │研究队伍 │交流合作 │人才培养 │党建与创新文化 │园林园艺 │科普教育 │旅游服务│信息公开
  站内搜索
科学研究
科研进展
获奖
论文
专著
专利
成果转化
 
您现在的位置: 首页>旧版停用>科学研究>科研进展
华南植物园在热带森林植物对土壤低磷的适应机制研究取得重要进展
2019-11-30 | 编辑:scbg | 【大 中 小】【打印 】【 关闭】

 

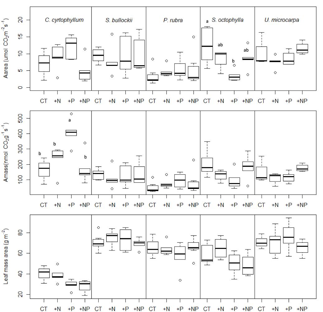
  氮和磷是植物代谢的基本元素,同时也被认为是陆地生态系统初级生产力的限制因子。相比于温带森林,发育于高度风化土壤的热带森林更容易受到土壤磷有效性的限制。然而,热带森林维持着地球上最高的生产力,与热带森林土壤磷有效性较低存在矛盾。因此,解析热带森林植物在土壤低磷条件下高效利用磷的策略是植被生态领域的重要课题。 

  中科院华南植物园博士毕业生莫其锋(现就职华南农业大学)在李志安站长和王法明博士的指导下,利用在次生阔叶混交林建立的长期氮磷养分添加控制实验平台,通过测定不同植物的叶片光合能力和叶片功能性状以及叶片磷组分,系统地了解这些植物在叶片尺度上的低磷环境的适应机制。 

  研究发现,叶片氮磷比的结果表明该森林是磷限制的生态系统,施磷降低了叶片磷利用效率和比叶重但增加了叶片磷和氮的浓度,而施氮对叶片性状无显著影响。施磷仅增加了一个广布种的叶片光合能力而对其他四个狭布种无显著影响。进一步对叶片磷组分的研究发现,施磷处理增加了所有物种的代谢磷、结构磷和核酸磷组分,但其增加的尺度因种而异。 

  该研究表明热带森林植物通过改变叶片中磷的分布来满足光合作用对磷的需求,并且东亚地区的热带森林的典型植物能够在低磷的土壤环境中维持相对稳定的光合速率。通过该项研究,认为由于热带植物进化的适应机制,低磷对热带森林植物的光合能力的限制比预想的要小得多。不同植物的叶片磷组分的分配策略是其重要的对低磷环境的适应机制。 

  该结果获得了相关领域专家的关注。澳大利亚科学院和荷兰科学院院士Hans Lambers教授认为该研究是在热带森林中首次直接观测到叶片尺度植物对低磷的适应机制,在其编写的《Plant Physiology Ecology》的第三版(出版中)中引用了该结果,并在其撰写的《Trends in Plant Science》的综述中对该结果进行了阐述。密歇根州立大学的 Thomas D Sharky 教授是国际植物光合领域的权威专家,美国生态学会会士,大学杰出教授(Distinguished Professor),他认为该结果证明了光合作用是最后受到磷限制的“Excellent proof that photosynthesis is the last thing to suffer in limited P nutrition. The triose phosphate use limitation is not caused by P nutrition”。 

  该研究成果于近日在英国生态学会Top期刊Functional Ecology上发表。论文详见:https://besjournals.onlinelibrary.wiley.com/doi/10.1111/1365-2435.13252

图1.热带次生林5种木本植物叶片光合速率和比叶面积对氮磷添加的响应

表1.热带次生林5种木本植物叶片磷组分对氮磷添加的响应

 


中国科学院华南植物园 版权所有 备案号:粤ICP备05004664号
地址:广州市天河区兴科路723号 邮编:510650 邮件:bgs@scbg.ac.cn
电话:020-37252711 旅游咨询热线:020-85232037